技成培训网 技成学习APP 技成工具箱 技成企业服务

欢迎回到技成培训网

技成培训网

电工题库宝典

技成电工课堂

PLC练习题

技成PLC课堂

变频器故障查询

技成PLC学吧

伺服驱动故障查询

技成PLC网校

当前位置:技成首页 > 文章中心 > 技成百科 > 请教热电阻温度系数

请教热电阻温度系数

刘玉蓉 发布于2014-11-10 17:24 86 0 标签:


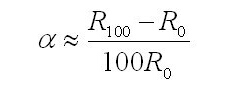
1、热电阻温度系数是按照截图中所示公式计算的吗?
2、如果所选热电阻的温度系数是0.0039083而EM231 RTD设置成0.00385,那么测得的温度会有大约几度的误差呢?


图片说明: 1,温度系数计算公式   2,em231 rtd拨码设置  

佳答案

温度系数,指的是温度每升高1度,电阻的变化率。
按照你图二中的截图,假设你实际使用的RTD是PT1000 ,温度系数0.00385(即温度升高1度电阻变化1000X0.00385=3.85欧);而实际将DIP开关设置为00111,即温度系数为0.00392(即温度升高1度电阻变化1000X0.00392=3.92欧);
结果是,实际现场温度为1度时,你的测量结果是(3.85/3.92)X1度=0.9821度,误差为1-0.9821=0.0179度。

若有收获,就点个赞吧!

文章来源于网络及文献如有侵权请联系站长
分享到:

微信扫一扫分享

阅读与本文标签相同的文章

相关推荐

最新文章 热门文章
最新课程 免费课程
PLC资料下载 电工电气资料下载
应用新秀
变频器故障代码查询APP
伺服故障代码查询APP
技成
手机APP
热门标签